
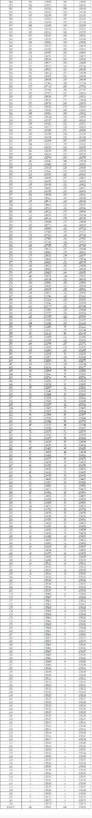
2021年湖南省普通高考档分1分段统计表(物理科目组合)
30高考网小编推荐:


如果你需要在线作图,30gk小编推荐个不错的在线作图网站:https://www.zhaotu.com/
以上,就是30高考网的小编给大家带来的2021年湖南省普通高考档分1分段统计表(物理科目组合)全部内容,希望对大家有所帮助!
本文标题:2021年湖南省普通高考档分1分段统计表(物理科目组合)
wap地址: https://m.30gk.com/newsdetail/172653.html

30高考网小编推荐:


如果你需要在线作图,30gk小编推荐个不错的在线作图网站:https://www.zhaotu.com/
以上,就是30高考网的小编给大家带来的2021年湖南省普通高考档分1分段统计表(物理科目组合)全部内容,希望对大家有所帮助!
本文标题:2021年湖南省普通高考档分1分段统计表(物理科目组合)
wap地址: https://m.30gk.com/newsdetail/172653.html