
2022高考物理真题及参考答案(湖南卷)
适用地区:湖南








以下为参考答案:
1-6
CADBA B
7-10
A,C
C,D
B,C
B,D
11
图略(2分) 15.35(2分) 127(2分)
12
大于(2分) ×10(2分) 向上(2分) 400Ω(2分)
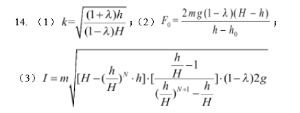
13

14

15
(1)ABE
(2)


16

30高考网小编推荐:
2022高考数学真题及参考答案(浙江卷)
2022高考理综真题及参考答案(全国乙卷)
2022高考文综真题及参考答案(全国乙卷)
2022高考文科数学真题及参考答案(全国乙卷)
如果你需要在线作图,30gk小编推荐个不错的在线作图网站:https://www.zhaotu.com/
以上,就是30高考网的小编给大家带来的2022高考物理真题及参考答案(湖南卷)全部内容,希望对大家有所帮助!
本文标题:2022高考物理真题及参考答案(湖南卷)
wap地址: https://m.30gk.com/newsdetail/257497.html