当前位置:首页 > 高考资讯 > 高考分数线

2020广东本科普通批文理类投档分数线及计划数与投档人数一览表

今天30高考网小编整理了2020广东本科普通批文理类投档分数线及计划数与投档人数一览表相关信息,希望在这方面能够更好的帮助到考生及家长。

根据招生录取日程安排,2020年广东高考本科批次院校录取将于21日结束。目前,广东本科普通批次文理科投档分数线已经公布,下面小编为大家详细介绍一下,供大家参考。

广东本科普通批投档分数线

文科投档分数线

2020广东本科普通批文理类投档分数线及计划数与投档人数一览表

2020广东本科普通批文理类投档分数线及计划数与投档人数一览表

2020广东本科普通批文理类投档分数线及计划数与投档人数一览表

2020广东本科普通批文理类投档分数线及计划数与投档人数一览表

2020广东本科普通批文理类投档分数线及计划数与投档人数一览表

2020广东本科普通批文理类投档分数线及计划数与投档人数一览表

2020广东本科普通批文理类投档分数线及计划数与投档人数一览表

2020广东本科普通批文理类投档分数线及计划数与投档人数一览表

2020广东本科普通批文理类投档分数线及计划数与投档人数一览表

2020广东本科普通批文理类投档分数线及计划数与投档人数一览表

2020广东本科普通批文理类投档分数线及计划数与投档人数一览表

2020广东本科普通批文理类投档分数线及计划数与投档人数一览表

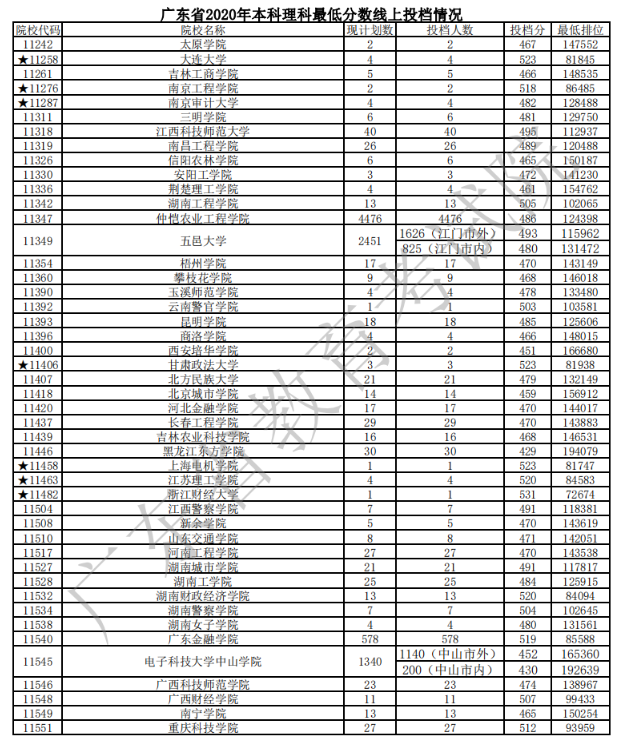
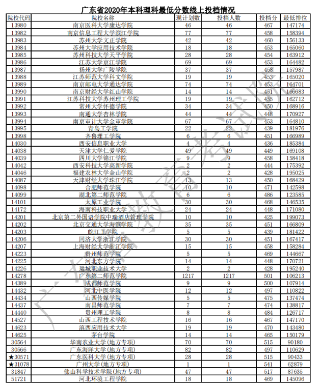
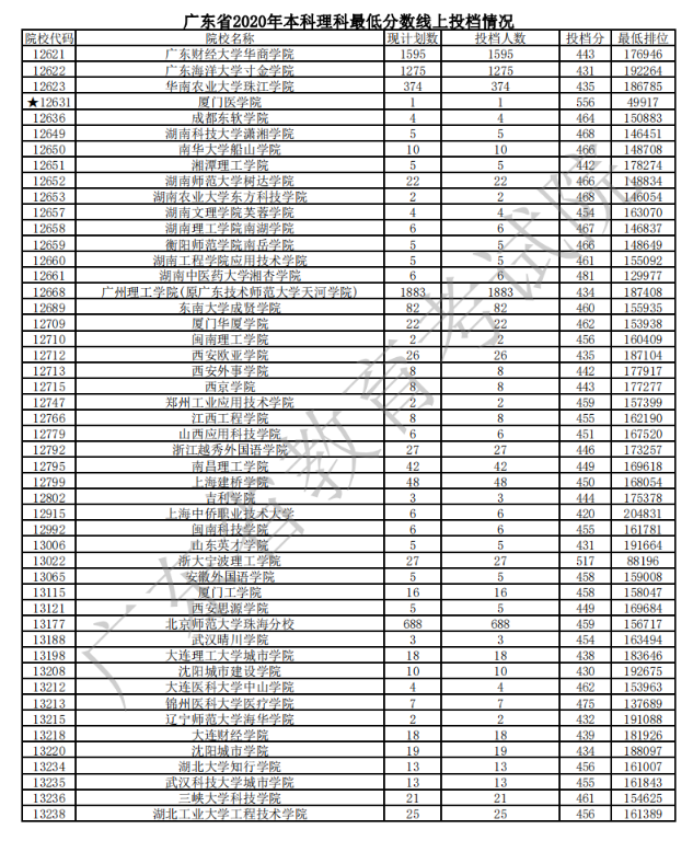
理科投档分数线

2020广东本科普通批文理类投档分数线及计划数与投档人数一览表

2020广东本科普通批文理类投档分数线及计划数与投档人数一览表

2020广东本科普通批文理类投档分数线及计划数与投档人数一览表

2020广东本科普通批文理类投档分数线及计划数与投档人数一览表

2020广东本科普通批文理类投档分数线及计划数与投档人数一览表

2020广东本科普通批文理类投档分数线及计划数与投档人数一览表

2020广东本科普通批文理类投档分数线及计划数与投档人数一览表

2020广东本科普通批文理类投档分数线及计划数与投档人数一览表

2020广东本科普通批文理类投档分数线及计划数与投档人数一览表

2020广东本科普通批文理类投档分数线及计划数与投档人数一览表

2020广东本科普通批文理类投档分数线及计划数与投档人数一览表

2020广东本科普通批文理类投档分数线及计划数与投档人数一览表

2020广东本科普通批文理类投档分数线及计划数与投档人数一览表

2020广东本科普通批文理类投档分数线及计划数与投档人数一览表

2020广东本科普通批文理类投档分数线及计划数与投档人数一览表

如果你需要在线作图,30gk小编推荐个不错的在线作图网站:https://www.zhaotu.com/

以上,就是30高考网的小编给大家带来的2020广东本科普通批文理类投档分数线及计划数与投档人数一览表全部内容,希望对大家有所帮助!

  展开阅读全文
TAG:
本文标题:2020广东本科普通批文理类投档分数线及计划数与投档人数一览表
wap地址: https://m.30gk.com/newsdetail/86118.html

与“2020广东本科普通批文理类投档分数线及计划数与投档人数一览表”相关推荐