当前位置:首页 > 高考试题 > 数学

2020新疆高考理科数学试题及答案解析

今天30高考网小编整理了2020新疆高考理科数学试题及答案解析相关信息,希望在这方面能够更好的帮助到考生及家长。

2020全国2卷高考理科数学答案解析

选择题

1.A 2.D 3.B 4.C 5.B 6.C 7.A 8.B 9.D 10.C 11.A 12.C

填空题

13.√2/2

14.36

15.2√3

16.①③④

简答题

17.

18.

2020新疆高考理科数学试题及答案解析

19.

2020新疆高考理科数学试题及答案解析

20.

2020新疆高考理科数学试题及答案解析

21.

2020新疆高考理科数学试题及答案解析

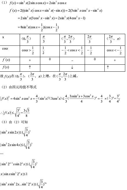
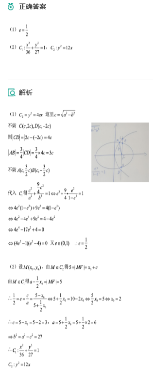
22.

2020新疆高考理科数学试题及答案解析

2020新疆高考理科数学试题及答案解析

以上试题答案来源于百度文库。

2020高考理科数学试题

2020新疆高考理科数学试题及答案解析

2020新疆高考理科数学试题及答案解析

2020新疆高考理科数学试题及答案解析

2020新疆高考理科数学试题及答案解析

以上试题

来源:辰轩学府,仅供参考。

如果你需要在线作图,30gk小编推荐个不错的在线作图网站:https://www.zhaotu.com/

以上,就是30高考网的小编给大家带来的2020新疆高考理科数学试题及答案解析全部内容,希望对大家有所帮助!

  展开阅读全文
TAG:
本文标题:2020新疆高考理科数学试题及答案解析
wap地址: https://m.30gk.com/newsdetail/91243.html

与“2020新疆高考理科数学试题及答案解析”相关推荐