当前位置:首页 > 高考试题 > 数学

2020吉林高考文科数学试题及答案解析【word精校版】

今天30高考网小编整理了2020吉林高考文科数学试题及答案解析【word精校版】相关信息,希望在这方面能够更好的帮助到考生及家长。

2020吉林

高考文科数学答案解析

选择题

1.D 2.A 3.C 4.B 5.D 6.B 7.C 8.B 9.B 10.A 11.C 12.A

填空题

13.1/9

14.25

15.8

16.①③④

简答题

17.

18.

2020吉林高考文科数学试题及答案解析【word精校版】

19.

2020吉林高考文科数学试题及答案解析【word精校版】

20.

2020吉林高考文科数学试题及答案解析【word精校版】

21.

2020吉林高考文科数学试题及答案解析【word精校版】

22.

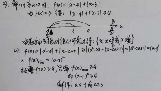
2020吉林高考文科数学试题及答案解析【word精校版】

23.

2020吉林高考文科数学试题及答案解析【word精校版】

2020高考理科数学试题

2020吉林高考文科数学试题及答案解析【word精校版】

2020吉林高考文科数学试题及答案解析【word精校版】

2020吉林高考文科数学试题及答案解析【word精校版】

2020吉林高考文科数学试题及答案解析【word精校版】

2020吉林高考文科数学试题及答案解析【word精校版】

2020吉林高考文科数学试题及答案解析【word精校版】

2020吉林高考文科数学试题及答案解析【word精校版】

以上答案解析来源:百度文库,仅供参考。

如果你需要在线作图,30gk小编推荐个不错的在线作图网站:https://www.zhaotu.com/

以上,就是30高考网的小编给大家带来的2020吉林高考文科数学试题及答案解析【word精校版】全部内容,希望对大家有所帮助!

  展开阅读全文
TAG:
本文标题:2020吉林高考文科数学试题及答案解析【word精校版】
wap地址: https://m.30gk.com/newsdetail/93784.html

与“2020吉林高考文科数学试题及答案解析【word精校版】”相关推荐